Артикул:
30422
В корзину
Описание
Насос ЭЦВ 4-6-140 (пр часть, двиг.4 кВт)
Подробности
Характеристики
Серия
—
ЭЦВ 4"
Производитель
—
UNIPUMP
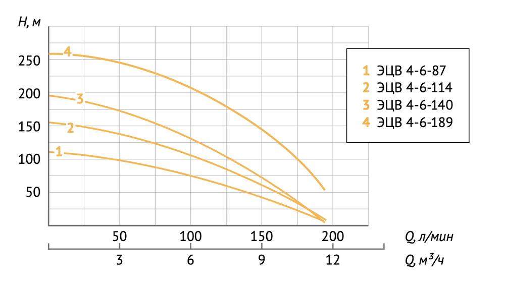
Максимальный напор (при расходе = 0), м
—
193
Максимальная производительность (при напоре = 0), м3 в час
—
11
Мощность, кВт
—
4
Материал корпуса/гидравлической части
—
Нержавеющая сталь
Все характеристики
Погружные насосы UNIPUMP серии ЭЦВ предназначены для подачи чистой холод-ной воды (без абразивных и волокнистых включений) из скважин, глубоких колодцев и открытых водоёмов.
Область применения— для индивидуального, коммунально-бытового, промышленного и сельскохозяйственного водоснабжения, а также для орошения и понижения уровня грунтовых и пластовых вод.
Область применения— для индивидуального, коммунально-бытового, промышленного и сельскохозяйственного водоснабжения, а также для орошения и понижения уровня грунтовых и пластовых вод.
Серия
ЭЦВ 4"
Производитель
UNIPUMP
Максимальный напор (при расходе = 0), м
193
Максимальная производительность (при напоре = 0), м3 в час
11
Мощность, кВт
4
Материал корпуса/гидравлической части
Нержавеющая сталь
Напряжение
380/400В
Тип промышленного насоса
Погружные скважинные